5 AI-First Routinen
So habe ich meine Arbeitsweise verändert
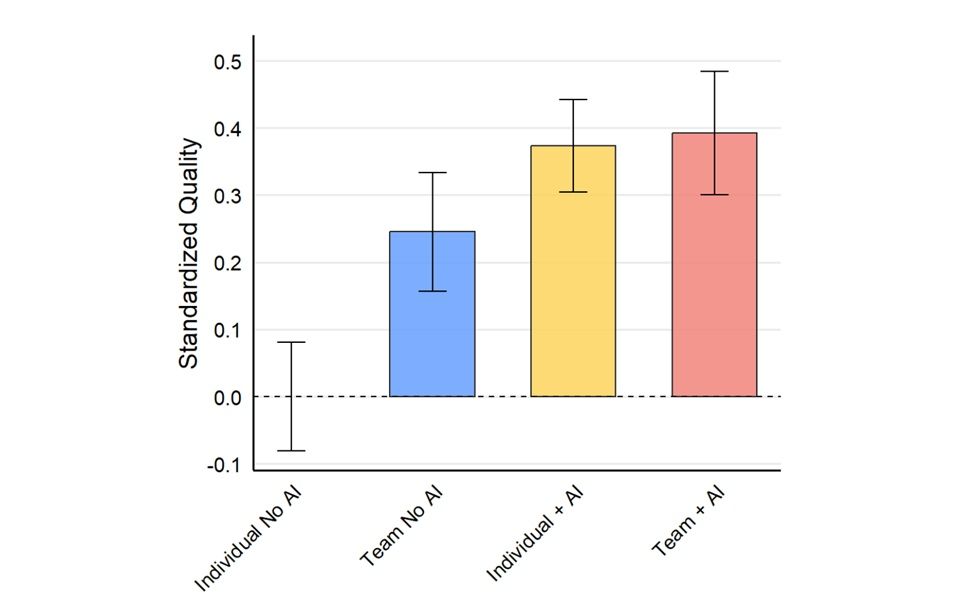
Herzlich Willkommen zu den AI FIRST Insights! Am 21. März erschien ein Paper der Harvard Business School dessen Grundlage ein Experiment unter 776 Mitarbeitern bei Procter & Gamble war, die echte Geschäftsprobleme zu lösen hatten.
Im Experiment kam heraus:
- Einzelpersonen, die nach dem Zufallsprinzip für den Einsatz von KI ausgewählt wurden, schnitten genauso gut ab wie ein Zweierteam ohne KI.
- KI-gestützte Teams produzierten mehr außergewöhnliche Lösungen als Teams ohne KI.
- Die Teams, die KI einsetzten, waren zufriedener.
- Silos wurden aufgebrochen: R&D-Mitarbeiter mit KI produzierten mehr kommerzielle Arbeit und kaufmännische Mitarbeiter mit KI erzielten mehr technische Lösungen.
Dieses Experiment bestätigte die Erfahrung die ich selbst und mit vielen Kunden mache. Sobald KI einmal ein ganz normaler Bestandteil der Arbeitsroutinen geworden ist, können wir mehr, bessere und neue Arbeit erledigen - und die Arbeit macht oft mehr Spaß.
Aus diesem Anlass teile ich heute 5 KI-Arbeitsroutinen und 6 Dinge, die mir dabei helfen, KI gut in meinen Arbeitsalltag zu integrieren.
Los geht’s!
Update Collective
Am 15.05. eröffnen wir das Collective für 30 Teilnehmer, die ihre eigene Produktivität steigern, ein KI-gestütztes Team entwickeln und die Potenziale von KI strukturiert im Unternehmen integrieren wollen:
Updates:
- Über 15 (zukünftige) KI-Verantwortliche und viele Entscheider aus dem Mittelstand sind bereits dabei. Mich begeistert besonders, dass viele GFs das Thema selbst in die Hand nehmen wollen.
- Das Experten-Netzwerk ist vollständig: 12 Top-Experten zu den Themen Agentic AI, Dateninfrastruktur oder EU AI Act werden neben mir ihr Wissen teilen.
- Nächste Woche starten die Studio-Aufnahmen für die Akademie und wir richten die Community Plattform ein.
- Im April geht's mit dem Mitglieder-Onboarding los :)
Du möchtest dabei sein?
Alle Informationen findest du hier. Trage dich auf die Warteliste ein, und wir senden dir ein individuelles Angebot sowie das detaillierte Programm zu. Der Early Bird Preis gilt nur noch bis zum 31.03.
Mehr Informationen zum Collective
Werbung Ende :) Jetzt geht's weiter mit der Insights-Ausgabe!
Routine 1: Finden statt Suchen
Alte Welt: Früher verbrachte ich Stunden mit Google-Suchanfragen. Ich scrollte durch dutzende blauer Links, öffnete mehrere Tabs, scannte jede Website und filterte die relevanten Informationen. Ein typischer Recherche-Prozess dauerte oft 30 Minuten.
Neue Welt: Heute nutze ich Antwortmaschinen wie Perplexity oder die Deep Research Features von ChatGPT oder Gemini. Ich stelle eine präzise Frage und erhalte eine zusammengefasste, strukturierte Antwort mit den wichtigsten Erkenntnissen – inklusive Quellenangaben. Dieser Prozess dauert heute 3 Minuten. Das spart Zeit und reduziert die kognitive Belastung durch Informationsüberflutung.
Beispiel:
Tipps:
- Lege bei Perplexity Räume für themenbezogene Recherche an, um eine konkrete Anweisung und Suchkontext zu hinterlegen. Diese Funktion nutze ich für meine Recherchen zum Collective oder als Vorbereitung auf AI FIRST Podcast-Gäste.
- Auch KI-Antwortmaschinen können Fehler machen. Bei Fakten prüfe ich die Quellen stichprobenartig.
Routine 2: Vom weißen Blatt wegkommen.
Alte Welt: Der Einstieg in eine Aufgabe oder ein Projekt fällt mir oft schwer. Wenn ich keinen passenden Ansatz habe, prokrastiniere ich oder fange an, in die falsche Richtung zu laufen nur um später eine bessere Idee zu haben und eine Kehrtwende zu machen. Früher gab es in diesem Fall Brainstorming-Meetings oder die gute alte Google-Recherche.
Neue Welt: Heute sind Sprachmodelle mein Einstieg in die Erstellung initialer Strukturen, Gliederungen oder Ideensammlungen. Bevor ich vor einem weißen Blatt grübele, nutze ich meinen KI-Assistenten für den Einstieg. Dabei geht es mir nie um ein perfektes Ergebnis, sondern eher um Gedankenanstöße und Optionen.
Beispiel:
Tipps:
- Gib der KI spezifische Kontextinformationen zu deiner Situation und deinen Zielen.
- Reflektiere das KI-Ergebnis im Arbeitsprozess kritisch und prüfe, ob wesentliche Informationen fehlen oder fehlerhaft sind.
- Lass dir von der KI mehrere Optionen geben, denn der erste Vorschlag ist oft nicht der beste. Ich lasse mir meistens 5 - 10 Optionen, Alternativen oder Ansätze geben und arbeite den passendsten weiter aus.
Routine 3: Meeting Assistent
Alte Welt: Ich war in Meetings der Typ, der ständig zwischen Notieren und Zuhören pendelte – und am Ende beides nur halb machte. Vielleicht kennst Du das ja auch. Nach dem Meeting starrte ich auf meine chaotischen Notizen und fragte mich: "Was zum Teufel sollte dieser Stichpunkt bedeuten?" Daraus musste ich dann irgendwie ein Follow-Up schreiben und meine Kollegen briefen.
Neue Welt: Ich lasse jetzt eine KI in meinen Meetings mitlaufen (nach Hinweis an alle Teilnehmer). Das Tool zeichnet auf, transkribiert und liefert mir eine strukturierte Zusammenfassung mit allen Key Points, Entscheidungen und Action Items. Während die KI mitschreibt, kann ich mich voll auf das Gespräch einlassen, Zwischentöne wahrnehmen und wirklich mit den Menschen im Raum interagieren.
Beispiel:
Tipps:
- Es gibt dutzende KI Meeting Recorder, die sich in der Qualität immer stärker ähneln. Entscheide dich für einen und integriere ihn konsequent in deine Workflows.
- In fast allen Tools kannst Du Vorlagen für bestimmte Meeting-Typen (Kunde, Team-Meeting, Allhands, …) anlegen. Das spart Dir zusätzliche Zeit.
Routine 4: Perspektivwechsel
Alte Welt: Wenn ich früher ein Feedback brauchte, musste ich Meetings organisieren oder Kollegen unterbrechen. Deshalb zögerte ich oft, halbfertige Arbeit zu zeigen, was zu späteren, teils teuren Korrekturen führte.
Neue Welt: Heute simuliere ich diverse Perspektiven sofort mit KI. Ich lasse meine Ideen durch die Augen verschiedener Experten, Stakeholder oder Kundentypen betrachten. Dafür habe ich CustomGPTs erstellt.
Diese unmittelbare Feedback-Schleife deckt Blindspots auf, bevor sie zu Problemen werden, und ermöglicht mir neue Blickwinkel zu erkunden.
Beispiel:
Tipps:
- Erstelle einen Assistenten/CustomGPT für deinen Zielkunden und lass dir regelmäßig Feedback geben. Anleitung hier.
- Kombiniere verschiedene Perspektiven miteinander: Kunde, Strategieberater, Mitarbeiter.
Routine 5: Coachen lassen
Alte Welt: Bei Aufgaben außerhalb meiner Expertise hatte ich drei Optionen. Ich konnte teure Dienstleister beauftragen, mich durch endlose Tutorials quälen oder die Aufgabe komplett vermeiden. Diese Herangehensweise kostete Geld, Zeit oder verhinderte, dass wichtige Projekte überhaupt umgesetzt wurden.
Neue Welt: Heute nutze ich KI als Coach. Ich frage: "Erkläre mir Schritt für Schritt, wie ich [Aufgabe] umsetze, als wäre ich ein Anfänger. Führe mich durch den gesamten Prozess und starte mit Schritt 1. Stelle mir vorab Fragen, um alle notwendigen Informationen zu sammeln." Die KI passt sich meinem Tempo an, beantwortet Nachfragen und hilft bei Hindernissen. So entwickle ich neue Fähigkeiten, behalte die Kontrolle über meine Projekte und kann Dienstleister besser steuern.
Beispiel:
Tipps:
- KI ist oft ein super Startpunkt. Für kritische Projekte hole ich mir trotzdem professionelle, menschliche Expertise an Board.
- Sagt deinem KI-Assistenten, dass er dir vorab Fragen stellen soll, um mehr Kontext zu deiner Situation und Zielen zu erhalten.
Mein persönliches AI-Setup
Um KI nahtlos in meinen Alltag zu integrieren, habe ich folgendes Setup aufgebaut:
🖥️ Dedizierter KI-Bildschirm
Ein separater Bildschirm, auf dem immer mein KI-Assistent geöffnet ist. So kann ich jederzeit Fragen stellen oder Ideen entwickeln lassen, ohne zwischen Anwendungen wechseln zu müssen.
⌨️ Shortcuts für KI-Zugriff
Tastenkombinationen, die mir sofortigen Zugriff auf meine KI-Tools ermöglichen – egal in welcher Anwendung ich gerade arbeite. Dies minimiert Reibungsverluste und fördert die kontinuierliche Nutzung.
🎤 Sprechen statt Schreiben
Ich spreche mehr mit meinen KI-Assistenten als ich schreibe. Dies ist nicht nur schneller, sondern ermöglicht mir auch eine natürlichere Interaktion, insbesondere bei komplexen Gedankengängen.
👥 KI-Assistenten-Team
Anstatt nur einen allgemeinen KI-Assistenten zu nutzen, habe ich ein "Team" von spezialisierten Assistenten eingerichtet – einen Chief of Staff, einen für Workshops, einen für den Podcast usw. Jeder ist mit spezifischen Anweisungen und Hintergrundwissen ausgestattet.
📱 Mobile Apps
Um auch von unterwegs auf meine KI-Assistenten zuzugreifen, habe ich ChatGPT & Co. auf meinem Smartphone installiert.
📁 KI-Wissensdatenbank
Eine strukturierte Dokumentation über mich, AI FIRST, meine Kunden, Services, Frameworks, Schulungsinhalte, Vorlagen und so weiter. Wirklich alles über mich und mein Unternehmen, das ich als Kontextwissen meinen KI-Assistenten zur Verfügung stelle.
🏁 Fazit
KI ist ein ganz normales, alltägliches Werkzeug geworden und hat nicht nur meine Produktivität, sondern auch meine Freude an der Arbeit gesteigert. Mit diesen fünf Routinen spare ich täglich wertvolle Zeit, treffe bessere Entscheidungen und bewältige Aufgaben, die vorher außerhalb meiner Reichweite lagen.
Key Takeaways:
- Mit KI-Antwortmaschinen reduzierst Du Recherchezeiten von Stunden auf Minuten und bekommst strukturierte Ergebnisse.
- KI-Assistenten helfen Dir, die Hürde des weißen Blatts zu überwinden und schneller in die Umsetzung zu kommen.
- Meeting-Recorder befreien Dich vom ständigen Notizenmachen und ermöglichen echte Präsenz im Gespräch.
- Der KI-gestützte Perspektivwechsel deckt Blindspots auf und liefert sofortiges Feedback ohne aufwändige Abstimmungen.
- Als Coach hilft Dir KI, neue Fähigkeiten zu entwickeln und komplexe Aufgaben strukturiert anzugehen.
Mach Dir den Zugriff auf KI-Funktionen leicht durch gut integrierte Tools, Assistenten-Vorlagen, Apps auf PC & Smartphone und Spracheingaben - so funktioniert's doppelt gut :)
Danke und bis nächsten Sonntag,
Felix
P.S. Die Insights-Ausgaben sollen den nächsten Qualitätssprung erreichen und dafür brauche ich Dein Feedback. Bitte schenke mir 3 Minuten deiner Zeit und hilf mir, diesen Newsletter zu verbessern. 1000 Dank!
Registriere dich kostenlos,
um den vollständigen Artikel zu lesen.
vollständige Insights
Hub-Werkzeugen
und diskutiere mit
an einem Ort







